• Предмет: Математика
  • Автор: pipbarbos
  • Вопрос задан 3 года назад

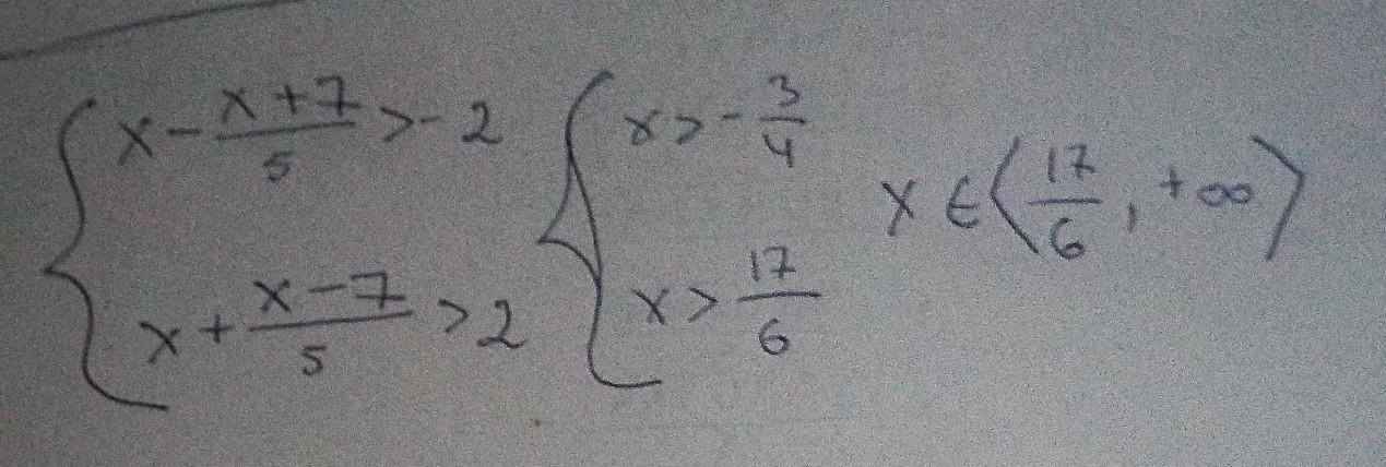
системы линейных неравенств ​

Приложения:

Ответы

Ответ дал: mastyakoch2007
1

Ответ:

Я сделала уже давно когда ты делала этот вопрос так что вот держи ...Ответ на фото...

Приложения:

pipbarbos: спасибо
mastyakoch2007: оброщайся
Вас заинтересует