• Предмет: Математика
  • Автор: KamilaDumanovna
  • Вопрос задан 3 года назад

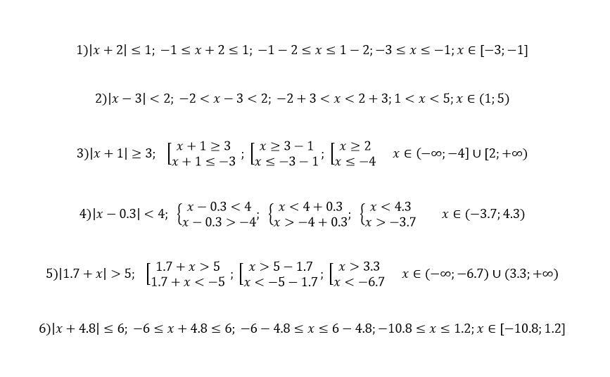
Решите неравенства (1063-1066):
1063. 1) (x + 2 < 1;
2) х - 3 < 2;
4) |x - 0,3 < 4; 5) 1.7+ > 5; 4
3) (x+1| 3;
6) x+4,8 < 6.
МНЕ СРОЧНО НАДО ПОМОГИТЕ​

Приложения:

Ответы

Ответ дал: bb573878
7

Ответ:

Пошаговое объяснение:

````````````````````````````````````````````````````````````

Приложения:
Ответ дал: Artsounds
7

_______________

Вложение 1 - пример 1); 2)

Вложение 2 - пример 5); 6)

Вложение 3 - пример 3); 4)

Приложения:
Вас заинтересует