Вопрос по первому закону Ньютона. Рисунок во вложении.
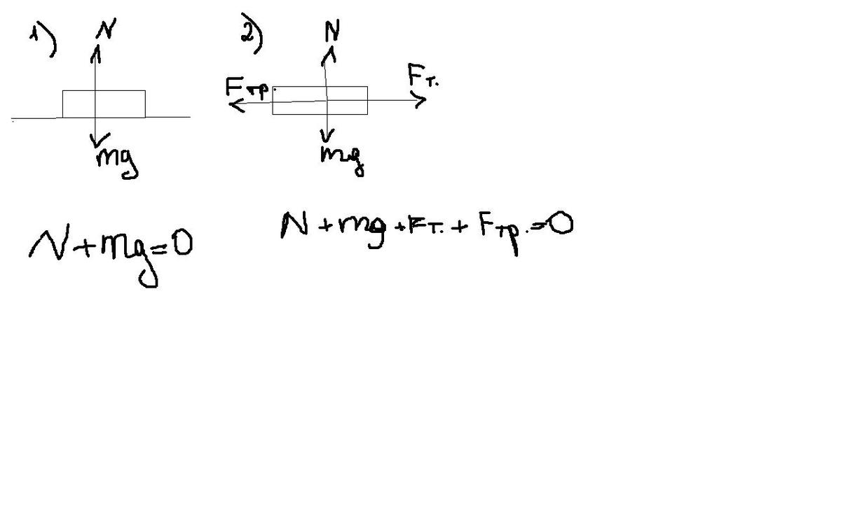
1 случай я понимаю! Книга лежит на столе две силы скомпенсированы, следовательно тело покоится.
2 случай почему если машина едет, то сумма всех 4 сил(сила трения = сила трения колёс и сопротивление воздуха), которые на неё действуют равна 0 и если они равны почему она двигается, и почему равномерно? То есть почему она двигается, если все силы = 0!
Приложения:

Ответы
Ответ дал:
0
действительно согласно закона инерции если сумма сил рана нулю, то тело покоится ( если оно покоилось) или движется прямолинейно и равномерно.
С первым все понятно.
Для того чтобы понять второй случай. Пусть автомобиль трогается с места. Очевидно что сила тяги должна больше быть силы трения и сопротивления воздуха. по второму закону Ньютона a= F/m
Ясно что скорость тела начинает расти, но с ростом скорости тела возрастает и сила сопротивления воздуха/ При малых скоростях Fс~ V , при больших скоростях
Fc~V^2. Наступает такой момент что сила сопротивления и трения начинают уравновешивать силу тяги мотора. Все. Скорость больше не растет. Сумма сил рана нулю. Почему тогда автомобиль движется? ПО ИНЕРЦИИ. Инерция это явление сохранения скорости.
С первым все понятно.
Для того чтобы понять второй случай. Пусть автомобиль трогается с места. Очевидно что сила тяги должна больше быть силы трения и сопротивления воздуха. по второму закону Ньютона a= F/m
Ясно что скорость тела начинает расти, но с ростом скорости тела возрастает и сила сопротивления воздуха/ При малых скоростях Fс~ V , при больших скоростях
Fc~V^2. Наступает такой момент что сила сопротивления и трения начинают уравновешивать силу тяги мотора. Все. Скорость больше не растет. Сумма сил рана нулю. Почему тогда автомобиль движется? ПО ИНЕРЦИИ. Инерция это явление сохранения скорости.
Ответ дал:
0
Спасибо большое, всё сразу стало понятно
Вас заинтересует
2 года назад
10 лет назад
10 лет назад