Ответы
Ответ дал:
1
Ответ:
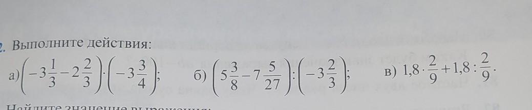
1)22,5
2)391/792
3)17/2
полное решение на фото
Приложения:

Вас заинтересует
2 года назад
2 года назад
2 года назад
2 года назад
8 лет назад
8 лет назад