• Предмет: Алгебра
  • Автор: verhozina2016
  • Вопрос задан 3 года назад

СРОЧНО,ПРОШУУУУУ,ДАМ БАЛЛОВ
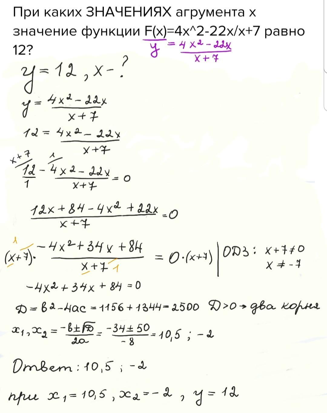
При каких ЗНАЧЕНИЯХ агрумента х значение функции F(x)=4x^2-22x/x+7 равно 12?
ПОМОГИТЕ ПРОШУ

Ответы

Ответ дал: Elo4kaw
1

Ответ на прикреплённом файле

Приложения:

verhozina2016: боже,обожаю тебя,спасибо
Вас заинтересует