• Предмет: Математика
  • Автор: whitefox040
  • Вопрос задан 3 года назад

Срочно решите подробно, можете на листке, а потом просто прикрепить ​

Приложения:

Ответы

Ответ дал: anastasiaveshaeva
1

Ответ:

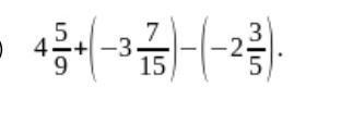
4 \frac{5}{9}  + ( - 3 \frac{7}{15}) - ( - 2\frac{3}{5}  ) =  \frac{41}{9}  -  \frac{52}{15} +  \frac{13}{5}  \\  \frac{166}{45}  = 3 \frac{31}{45}

Вас заинтересует