• Предмет: Алгебра
  • Автор: alina00833
  • Вопрос задан 3 года назад

Помогите пожалуйста решить, срочно нужно.

Приложения:

Ответы

Ответ дал: voooitttuk
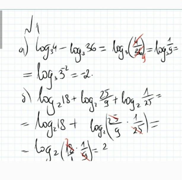
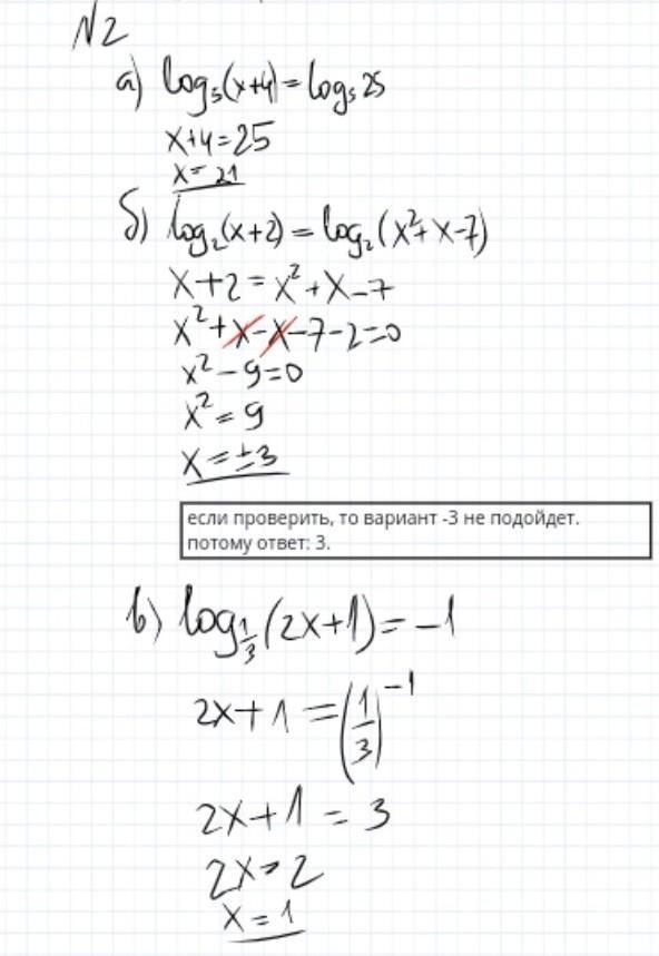
1

Ответ:

в первом третье решить не могу. не понимаю, что на фото

Приложения:
Вас заинтересует