• Предмет: Алгебра
  • Автор: pubgdordoi
  • Вопрос задан 3 года назад

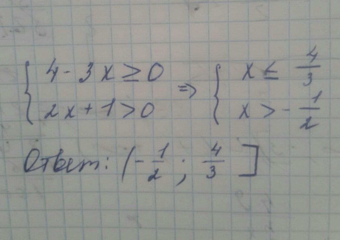
решите систему неравенств.
4-3х ≥ 0,
2х+1 > 0​

Ответы

Ответ дал: SilverGravity
9

Ответ:

.......................

Приложения:

pubgdordoi: можешь помочь ещё с 2 заданиями пожалуйста?
SilverGravity: привет, да помогу))
pubgdordoi: выложил фотку
pubgdordoi: помоги плз на последнем фото
Вас заинтересует