• Предмет: Алгебра
  • Автор: gshusjw
  • Вопрос задан 3 года назад

даю 10 баллов
срочно

Приложения:

Ответы

Ответ дал: serovaksusa1
1

Ответ:

Смотри решение на фото

Приложения:
Ответ дал: ТатК
1

Ответ:

Объяснение:

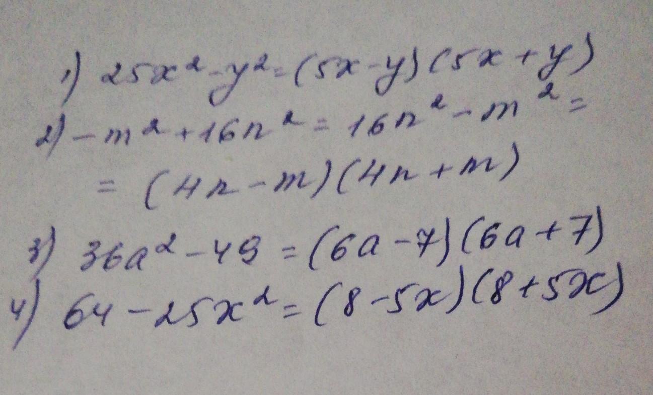
a) = ( 5x-y)(5x+y)

б)  =( 4n-m)(4n+m)

в)  = (6a-7)(6a+7)

г)   =(8-5x)(8+5x)

Вас заинтересует