• Предмет: Алгебра
  • Автор: tilo4ikluckyvipers
  • Вопрос задан 3 года назад

сделайте пожалуйста 3 задания даю 90 баллов
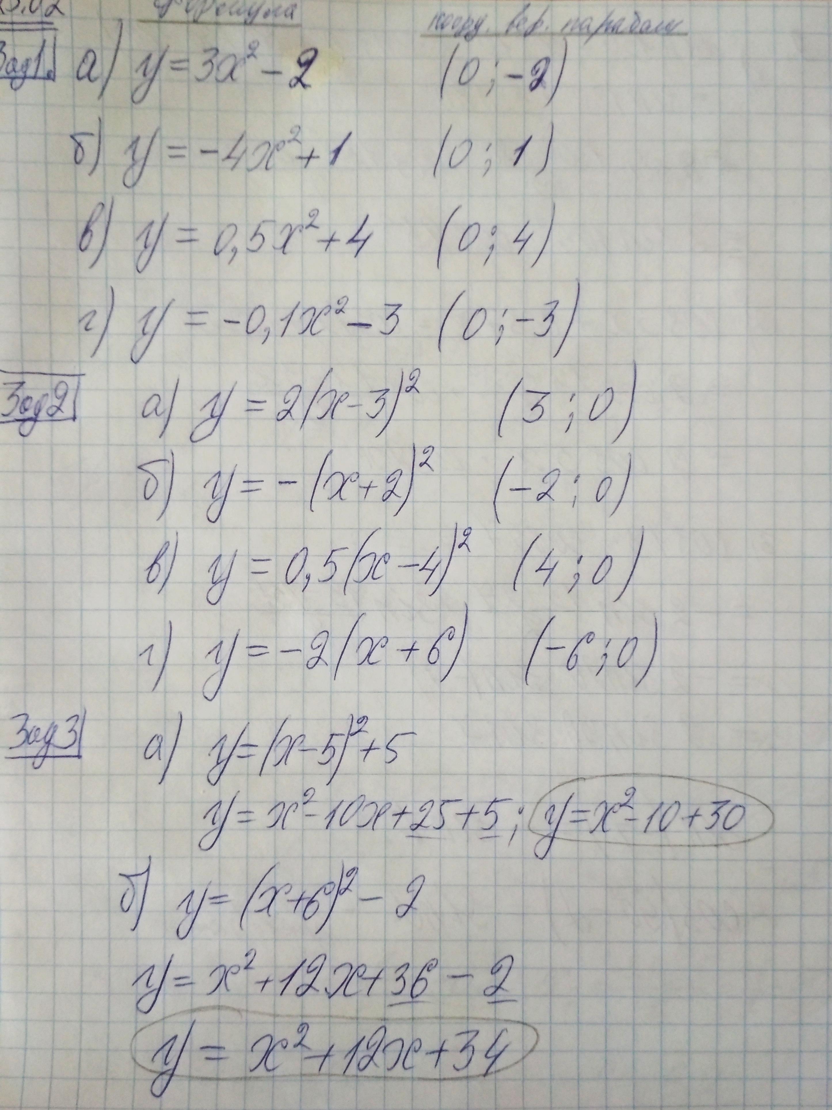
Задание 1 Укажите координаты вершины параболы,
которая получена сдвигом вдоль оси у, и задайте эту
функцию формулой:
а) параболы у=3х2 на 2 единицы вниз
б) параболы у=-4х2 на 1единицу вверх
в) параболы у=0,5х2 на 4 единицы вверх
г) параболы у=-0,1х на 3единицы вниз
Задание 2 Укажите координаты вершины параболы,
которая получена сдвигом вдоль оси х, и задайте эту
функцию формулой:
а) параболы у=2х2 на 3 единицы вправо
б) параболы у=-х2 на 2 единицы влево
в) параболы у=0,5х2 на 4 единицы вправо
г) параболы у=-2х2 на 6 единиц влево
Задание 3 Напишите уравнение параболы, полученной
сдвигом параболы у=х2
а) На 5 единиц вправо и 5 единиц вверх: у=(х-5)2+5
б) На 6 единиц влево и 2 единицы вниз: у=(х+6)2-2

Ответы

Ответ дал: ТатК
2

Ответ:

Ответ на все задания на фото

Объяснение:

Приложения:
Вас заинтересует