• Предмет: Алгебра
  • Автор: melnicukv274
  • Вопрос задан 3 года назад

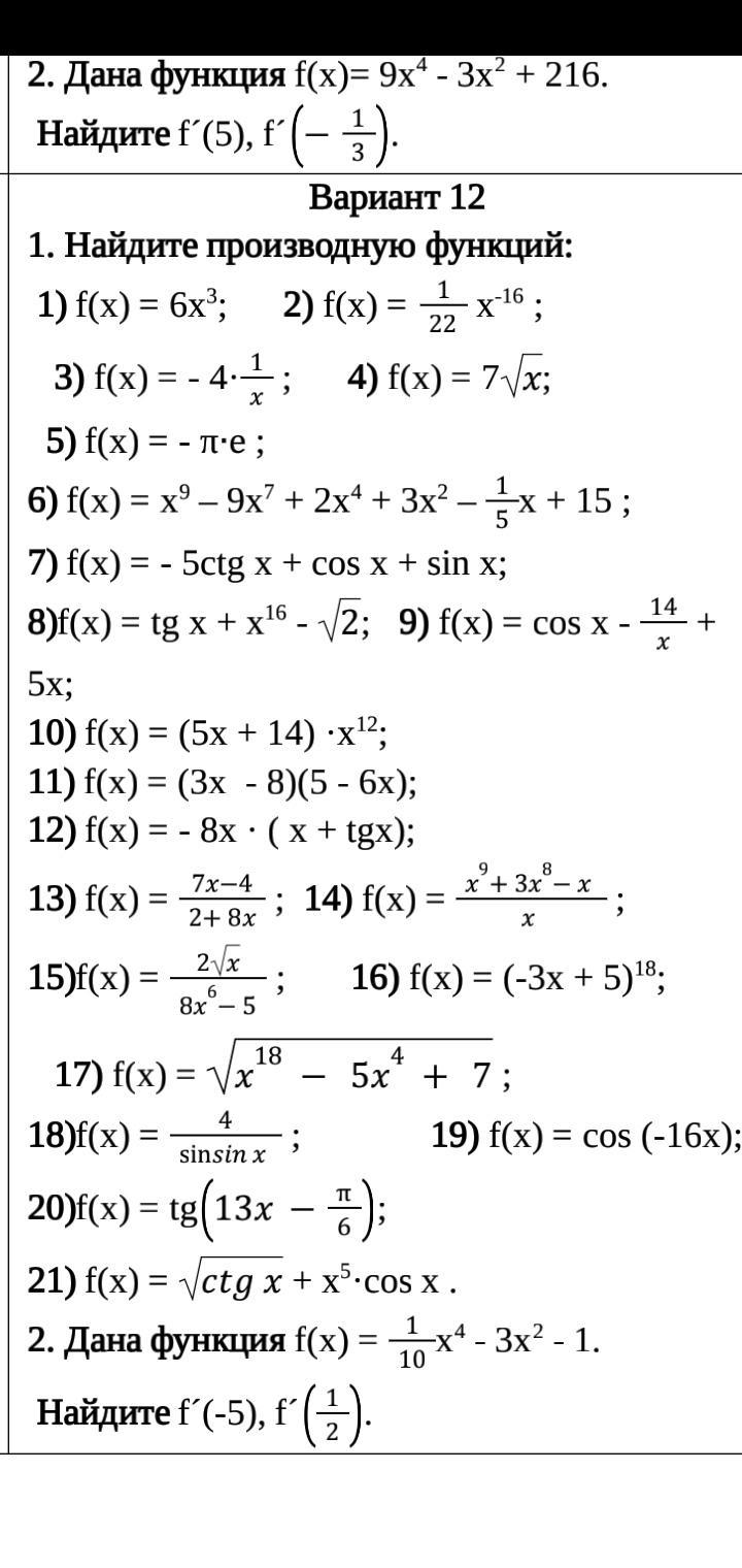
Помогите решить пожалуйста вариант 12

Приложения:

Ответы

Ответ дал: zhannur200864
0

Ответ:

Не знаю

Не знаю

Не знаю

Не знаю)))

Вас заинтересует