• Предмет: Алгебра
  • Автор: roman3611
  • Вопрос задан 3 года назад

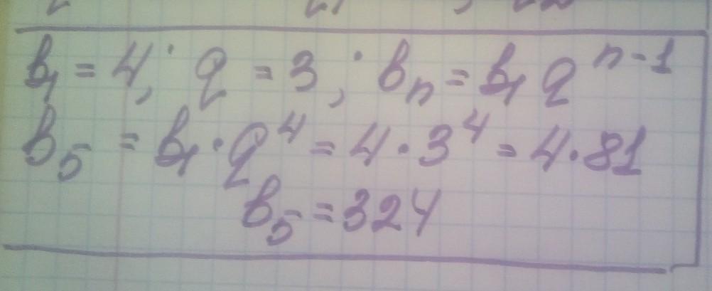
знайдіть п'тий член геометричної прогресії якщо B,=4 q,=3​

Ответы

Ответ дал: manyny06
1

Ответ:

решение смотри на фотографии

Приложения:
Вас заинтересует