• Предмет: Математика
  • Автор: 15diana07
  • Вопрос задан 3 года назад

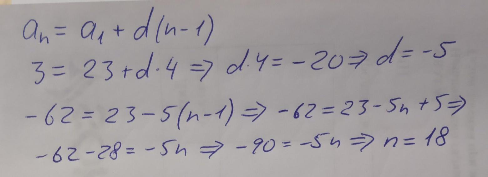
Является ли число -62 членом арифметической прогрессии, первый член которой равен 23, а пятый равен 3? Если да, то определите номер этого члена.

Ответы

Ответ дал: palilov243659
9

Ответ:

N=18

Пошаговое объяснение:

///////////////////

Приложения:
Вас заинтересует