Ответы
Ответ дал:
0
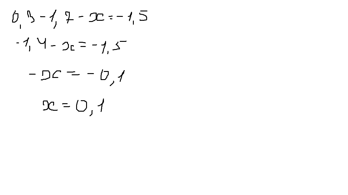
0.3 - (1.7 + х) = -1.5
Сначала раскрываешь скобки:
0.3 - 1.7 - х = -1.5
Теперь переносишь известное в одну сторону, остальное в другую
х = 1.5 - 1.7 + 0.3
х = 0.1
Сначала раскрываешь скобки:
0.3 - 1.7 - х = -1.5
Теперь переносишь известное в одну сторону, остальное в другую
х = 1.5 - 1.7 + 0.3
х = 0.1
Ответ дал:
0
Получится вот так :)
Приложения:
Вас заинтересует
3 года назад
8 лет назад
8 лет назад
11 лет назад