Ответы
Ответ дал:
2
Ответ:
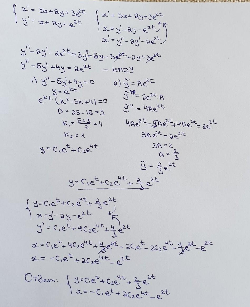
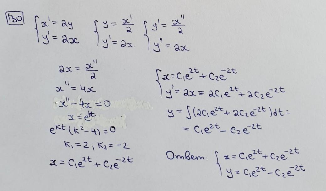
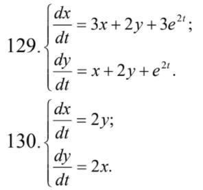
решение на фотографиях
Приложения:


abdurakhim25112010:
Привет Мирослава немогла бы ты ответить на мой вопрос в профиле 709 пппжжжжж
Вас заинтересует
2 года назад
2 года назад
8 лет назад
8 лет назад
9 лет назад