• Предмет: Математика
  • Автор: LillaKattenOff
  • Вопрос задан 3 года назад

Помогите пожалуйста!

Приложения:

Ответы

Ответ дал: 86Fantom
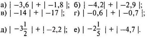
2

Это довольно просто

а) |-5,4| или 5,4 без модуля

б) |-7,1| или 7,1 без модуля

в) |-31| или 31 без модуля

г) |-1,3| или 1,3 без модуля

д) |-5,7| или 5,7 без модуля

е) |-6,9| или 6,9 без модуля


86Fantom: Если не сложно сделай ответ лучшим пж
Вас заинтересует