• Предмет: Математика
  • Автор: kirilchechen05
  • Вопрос задан 3 года назад

помогите прошуу помогите 6 класс​

Приложения:

Ответы

Ответ дал: viagra69
0

Ответ:

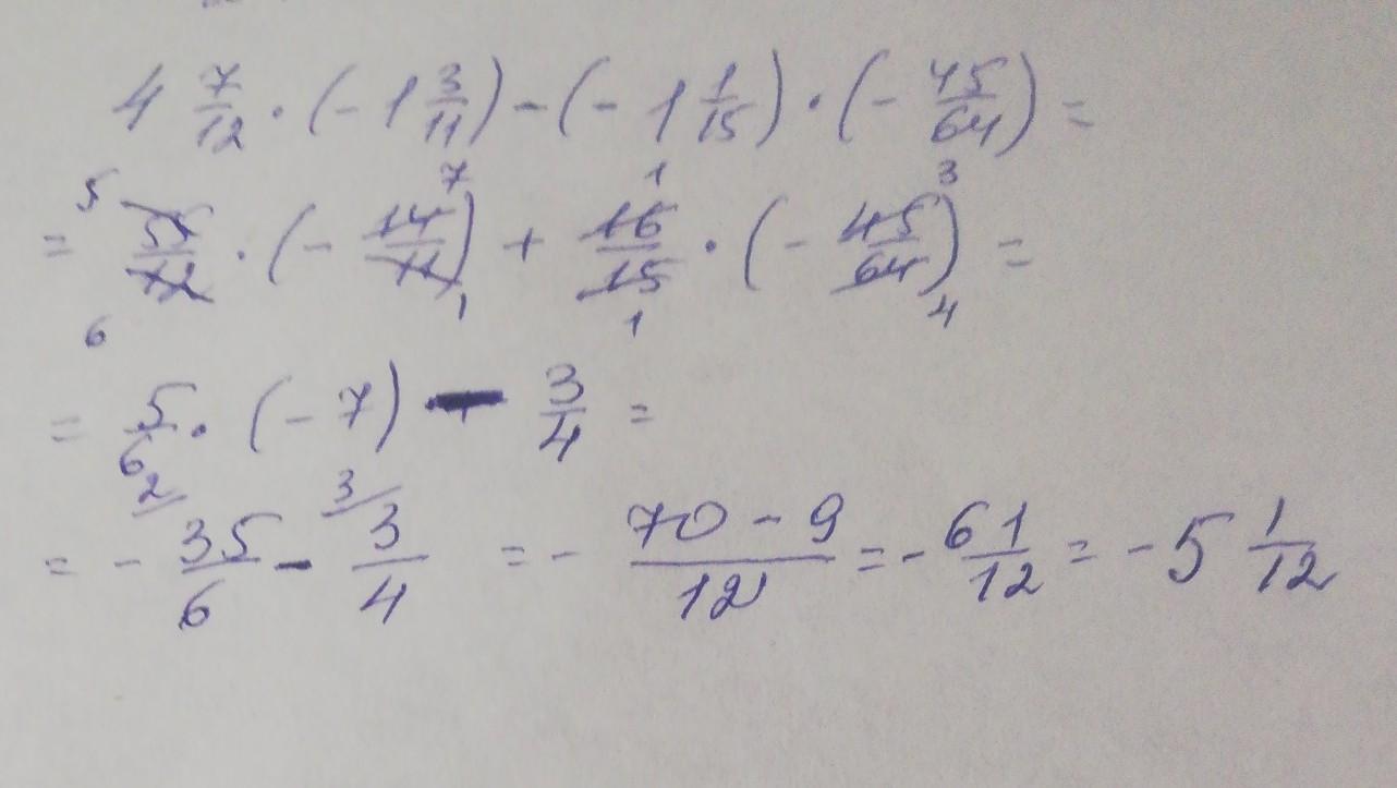
Б) -5¹/12

Пошаговое объяснение:

/////////////////

Ответ дал: serovaksusa1
0

Ответ:

Смотри решение на фото

Приложения:
Вас заинтересует