Ответы
Ответ дал:
0
Решение на картинке.
Приложения:

Ответ дал:
0
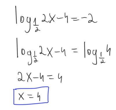
2x-4=(1/2)^(-2);
2x-4=2^2;
2x-4=4;
2x=8;
x=4
Приложения:

Вас заинтересует
2 года назад
2 года назад
8 лет назад
8 лет назад
10 лет назад
10 лет назад