• Предмет: Алгебра
  • Автор: AnnaShevchenkoOo
  • Вопрос задан 11 лет назад

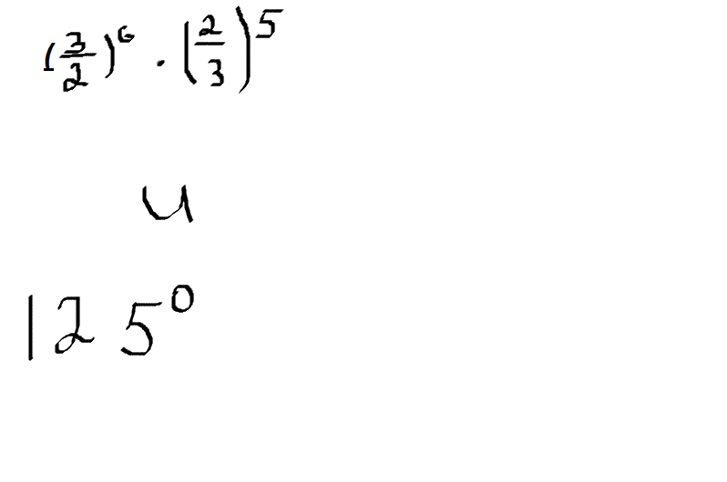
Сравните значения выражений(на картинке) .Заранее спасибо

Приложения:

Ответы

Ответ дал: Аноним
0
3^6*2^5/2^6*3^5=3/2=1,5  <  125*3,14/180≈2,18

Ответ дал: Аноним
0
Cgfcb,j!
Ответ дал: Незнaйкa
0
(3/2)^6•(2/3)^5=(3/2)^6•(3/2)^(-5)=(3/2)^1=3/2
125^0=1
3/2>1,значит (3/2)^6•(2/3)^5>125^0
Вас заинтересует