• Предмет: Алгебра
  • Автор: kseniazukova345
  • Вопрос задан 3 года назад

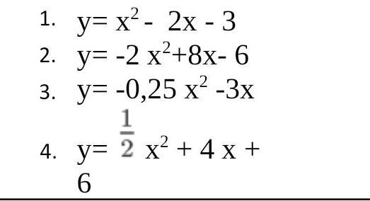
помогите пожалуйста срочно дам 15 баллов​

Приложения:

Ответы

Ответ дал: sheglowasof
0

Объяснение:

Ну вроде так

1)5х

2)6х

3)67х

4)9с


kseniazukova345: вы хотя бы смотрите что там прекреплено или так друг у друга списывание чтобы балы получить
Вас заинтересует