Ответы
Ответ дал:
0
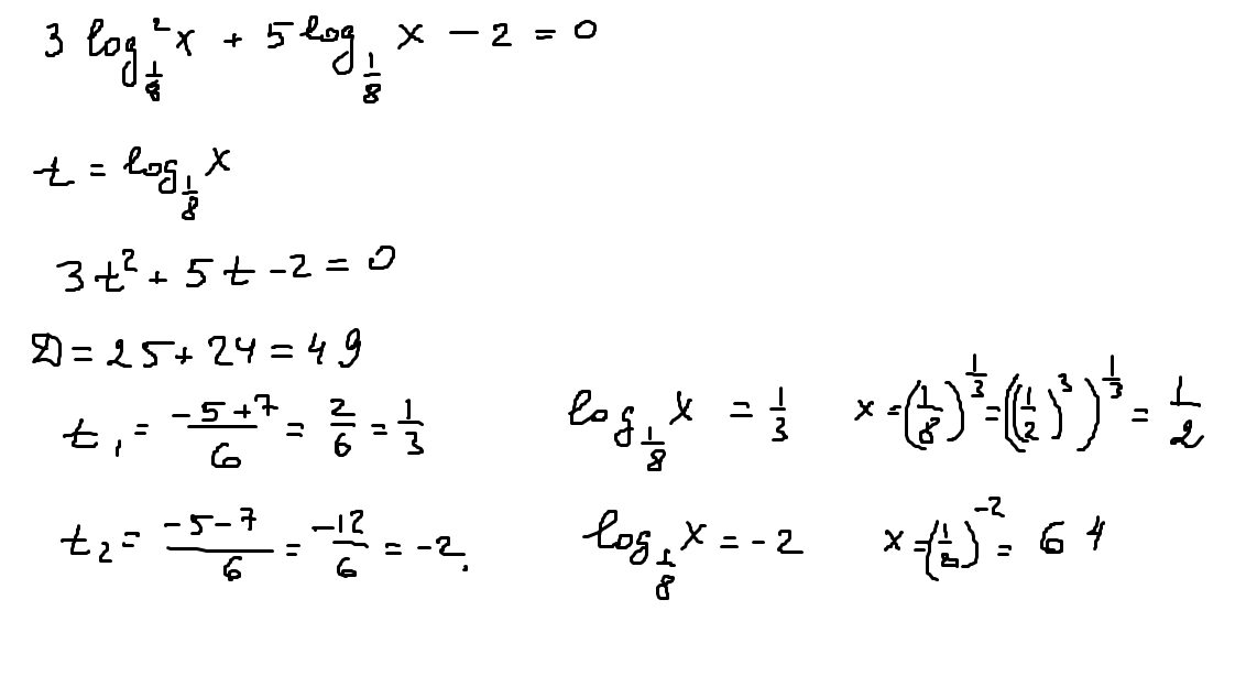
первое задание есть! смотри в файле
Приложения:

Вас заинтересует
2 года назад
8 лет назад
8 лет назад
10 лет назад
10 лет назад
10 лет назад
10 лет назад