• Предмет: Алгебра
  • Автор: gtits0
  • Вопрос задан 3 года назад

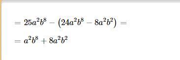
(5ab^4)^2-4ab(6ab^7-2ab) Решите пожалуйста

Ответы

Ответ дал: Deallou
1

`````````````````````````````````````````````````````

Приложения:
Вас заинтересует