• Предмет: Математика
  • Автор: reshetnikovaluda43
  • Вопрос задан 3 года назад

пж помогите решить ср по математике только все

Приложения:

Ответы

Ответ дал: kris8qw
1

Відповідь:

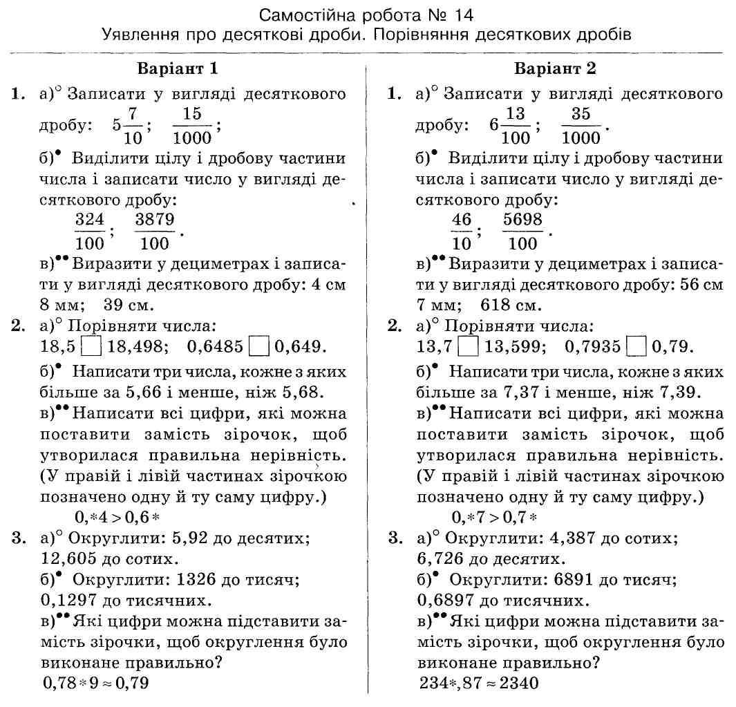
вар 1

1)  a)   5,7       0,015

   б)   3,24     38,79

    в)   0,4    0,08    3,9

2) 18,5 > 18,498   0,7935> 0,79

   б) 5,671  5,672   5,673

     в) 7 \ 8\ 9

3)   а) 5,9   12,61  

      б)  0,13

       в) 9

вар 2

1)  а) 6,13   0,035

    б)  4,6   56,98

      в)5,6  0,07  61,8

2) 13,7 > 13,599     0,7935>0,79

   б) 7,381   7,372  7,373

      в) 8\9

3) а)    4,39   6,7

     б)  0,69

     в) 0

Покрокове пояснення:

Вас заинтересует