• Предмет: Алгебра
  • Автор: ramazanansar4
  • Вопрос задан 3 года назад

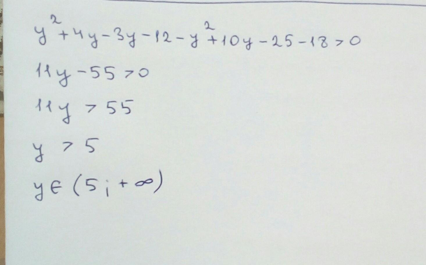
Решить неравенство. (y-3)(y+4)-(y-5) в квадрате>18 СРОЧНО ОТВЕТ записать на листе

Ответы

Ответ дал: timkatimoshka99
4

Держи. Вот правильный ответ

Приложения:
Вас заинтересует