• Предмет: Математика
  • Автор: fatimaosmanova88
  • Вопрос задан 3 года назад

Решите срочно пж дам 30 баллов

Приложения:

fatimaosmanova88: Ладно 40 баллов

Ответы

Ответ дал: oqilovmehrob
2

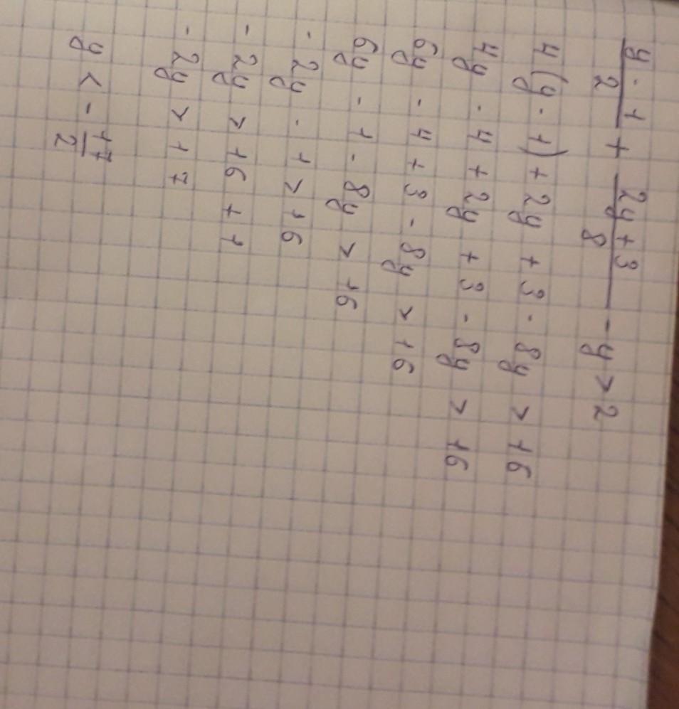
Ответ:

 \frac{y - 1}{2}  +  \frac{2y + 3}{8}  - y > 2 \\ 4y - 4 + 2y + 3 - 8y > 16 \\  - 2y  >  16 + 4 - 3 \\  - 2y > 17 \\ y <  - \frac{17}{2}  \\ ( -  \infty ........ -  \frac{17}{2} )


JidkiyMetaLL: ему тоже говорите
Аноним: че??
Ответ дал: JidkiyMetaLL
11

Пошаговое объяснение:

решено.......................

Приложения:

JidkiyMetaLL: я же подписался на тебя
JidkiyMetaLL: хочу
JidkiyMetaLL: ты тоже отписался
JidkiyMetaLL: почему,?
Аноним: какой привет такой ответ -_-
JidkiyMetaLL: сколько Лиса ,,,я вопше не помню!!!,,,
JidkiyMetaLL: lisa9180,,,lisa9181 ,,,,lisa0649,,,,lalisamanoban
Аноним: lalisamanoban54 я изменила теперь Lisa0649
Аноним: остальные удалили
Аноним: теперь осталось 2 аккаунт это и Lisa0649 -_-
Вас заинтересует