• Предмет: Қазақ тiлi
  • Автор: aizhankuldikova94
  • Вопрос задан 3 года назад

1026.
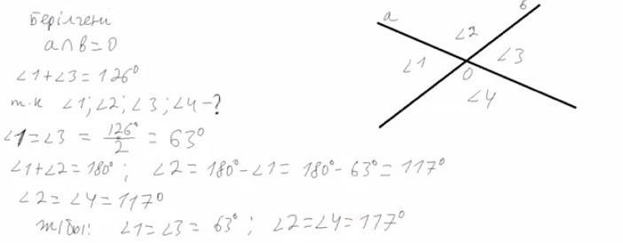
Екі түзудің қиылысуынан пайда болған вертикаль
қосындысы 126°-қа тең. Осы екі түзудің қиылысуынан пай
да болған бұрыштардың әрқайсысының градустық өлшемдерін
табыңдар.​

Приложения:

Ответы

Ответ дал: noname386794
64

Ответ:

вот ответ

Объяснение:

вроде так ..................

Приложения:

turganbayev09: Сел тебе даже ни кто не сказал "спасибо" а я нажал ♡♡♡
noname386794: спс можеш нажат на звездчку
inzhuzhalelkyzy: спасибо большое
erbolabdulla44: проста бомба выручил нам ечё 1026 , 1027 и 1029
zhaneeeek: круто и правильно доволен нажала на идеальный ответ
Вас заинтересует