• Предмет: Алгебра
  • Автор: dashat8690516
  • Вопрос задан 3 года назад


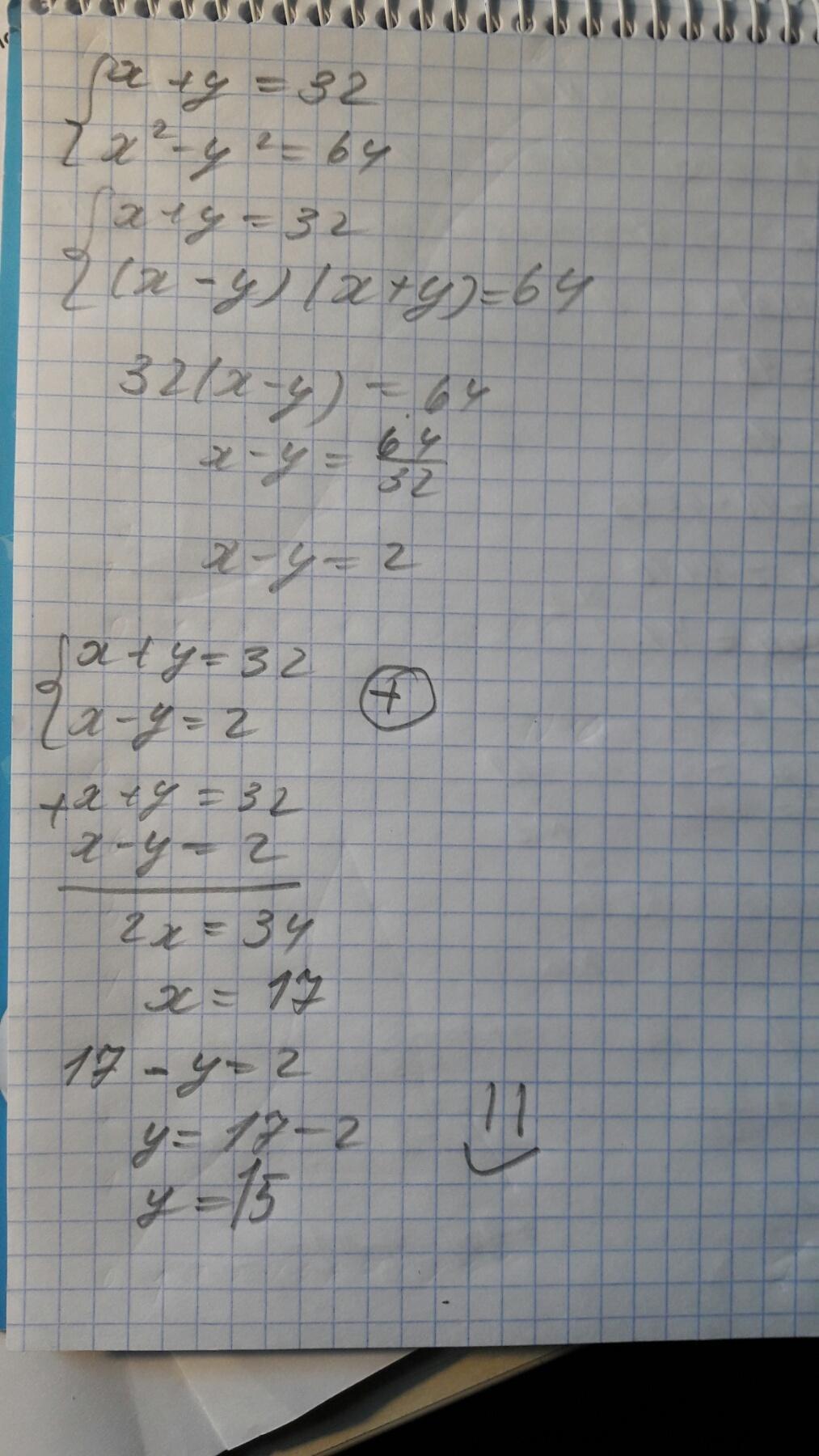
4. Решите задачу с помощью составлення уравнения: Сумма двух чисел равна 32, а разность
их квадратов составляет 64. Найдите эти числа.

30 баллов ​

Ответы

Ответ дал: MUS1CKOMAR
28

Ответ:

Объяснение:

Дай лучший ответ пожалуйста, спасибо!

Приложения:

sashamok59: верно?
pon4ik7777: а это верно?
MUS1CKOMAR: Да
Fsgxegc: молодец
angelinamolchanova88: Спасибо огромное, это было последнее задание в Соре
Вас заинтересует