• Предмет: Математика
  • Автор: Аноним
  • Вопрос задан 3 года назад

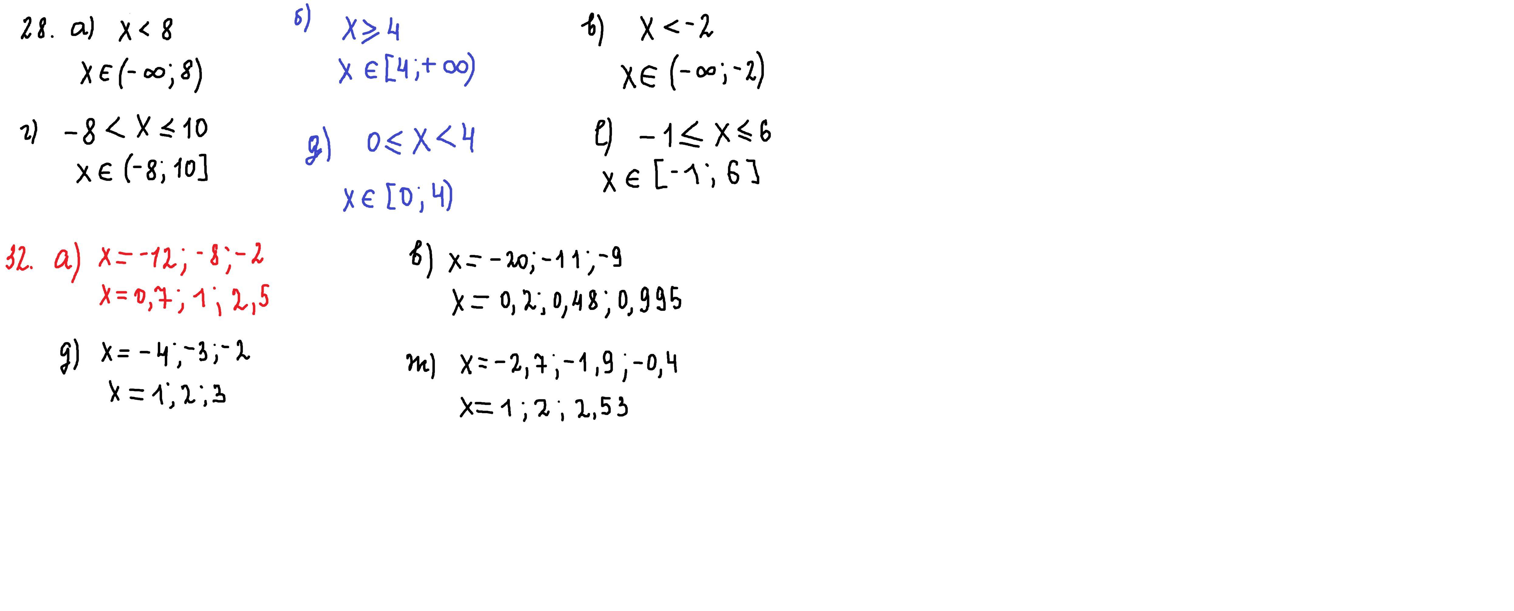
28 номер и 32 1,3 столбик

ДАЮ 20 БАЛЛОВ!!!!!!
каждом из номеров должно быть 3 момента: неравенство, числовая прямая и промежуток ​

Приложения:

Ответы

Ответ дал: parus77
0

Ответ:

Пошаговое объяснение:

28 . числовая прямая в учебнике есть,записала неравенство и промежуток

если неравенство строгое ,то точка не закрашена,и скобка круглая

если неравенство нестрогое,то точка закрашена и скобка квадратная

Приложения:

Аноним: здравствуйте помогите пожалуйста
Вас заинтересует