• Предмет: Алгебра
  • Автор: smirnovaneoegorhep
  • Вопрос задан 3 года назад

РЕШИТЕ ПОЖАЛУЙСТА СРОЧНО!!!!!!!!!!!!
15 БАЛЛОВ!!!!!!!!​

Приложения:

Ответы

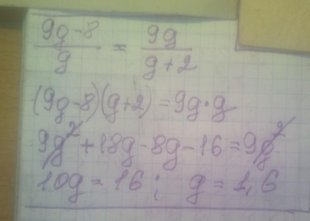
Ответ дал: manyny06
0

Ответ:

решение смотри на фотографии

Приложения:
Вас заинтересует