• Предмет: Химия
  • Автор: iraserdukova1252
  • Вопрос задан 3 года назад

помогите, пожалуйста ​

Приложения:

Ответы

Ответ дал: gilinalu
0

Ответ:

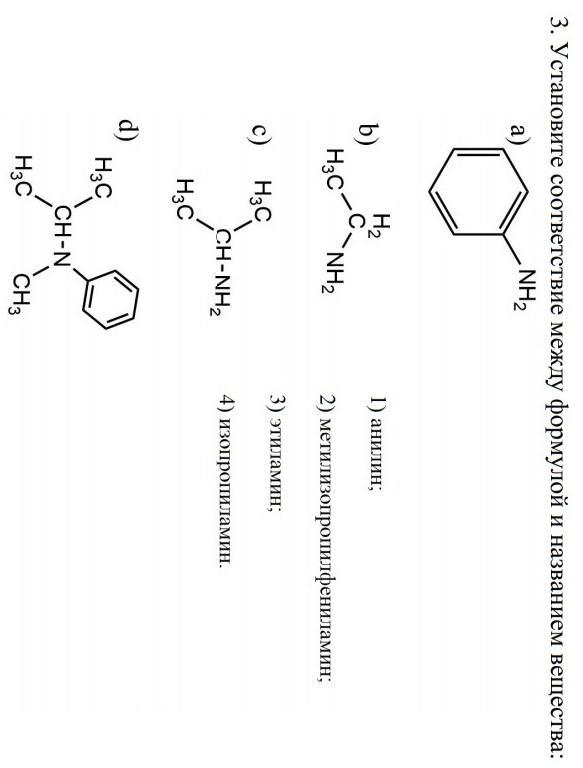
а) анилин b) этиламин c) изопропиламин d) 2

Объяснение:

Ответ дал: Jikarinkite
0

A) анилин — 1

B) этиламин — 3

C) изопропиламин — 4

D) метилизопропилфениламин — 2

Вас заинтересует