ЗА ВАШ ВЕЛИКИЙ ТРУД ДАЮ 100 БАЛОВ
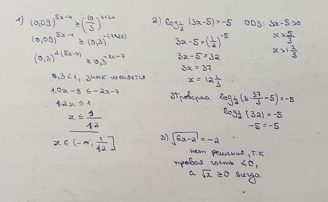
1)Первый пример-решить показательные неравенства(решить и подробно
расписать ответ )
2)Второй пример-решить логарифмическое уравнение(решить ОБЯЗАТЕЛЬНО СДЕЛАТЬ ПРОВЕРКУ и подробно расписать решения)
3)Третий пример-решить иррациональное уравнения(решить и подробно расписать ответ)
ПРОШУ ОТНЕСТИСЬ К МОИМ ПРОСЬБАМ С ОТВЕТСТВЕННОСТЬЮ заранее спасибо :)
Приложения:

Ответы
Ответ дал:
0
Ответ:
решение на фотографии.
Приложения:

Ответ дал:
0
Ответ:
Пошаговое объяснение:
Будут вопросы, спрашивайте )
Приложения:

Вас заинтересует
2 года назад
2 года назад
2 года назад
8 лет назад
8 лет назад
9 лет назад