• Предмет: Алгебра
  • Автор: mmmmil52
  • Вопрос задан 3 года назад

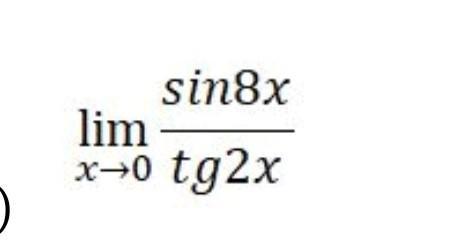
помогите пожалуйста​

Приложения:

Ответы

Ответ дал: artemzarvanskij1
0

Ответ:ну вот на фото ответ есть вот

Объяснение:

Приложения:
Вас заинтересует