• Предмет: Математика
  • Автор: Аноним
  • Вопрос задан 3 года назад

помогите оба номера ​

Приложения:

Ответы

Ответ дал: iramazurk
1

Ответ:

Пошаговое объяснение:

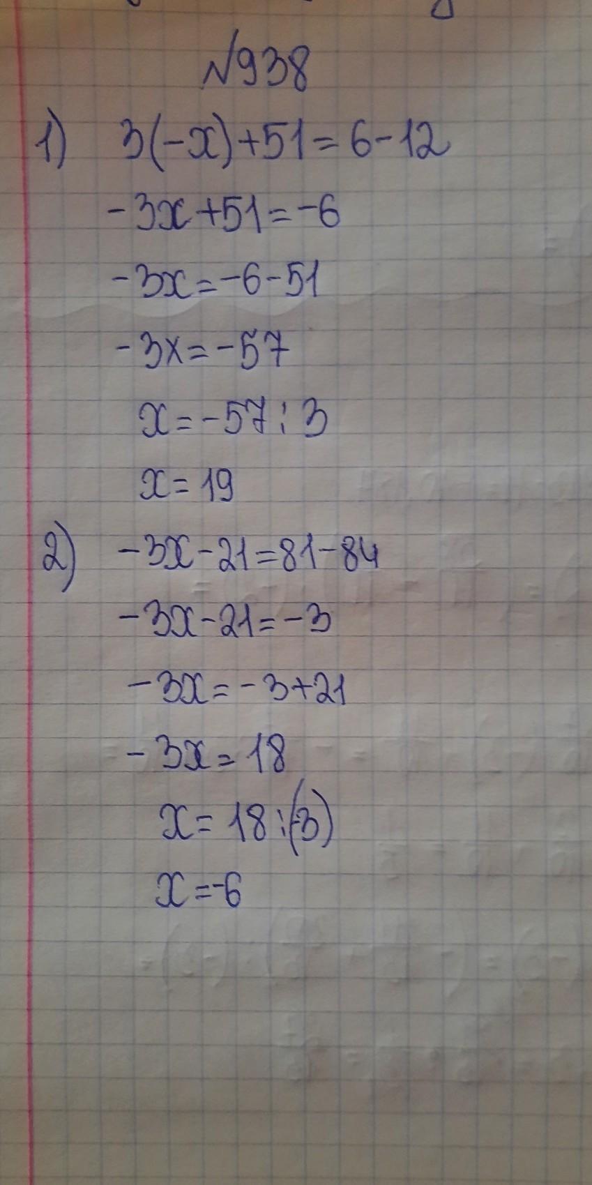
938.

1) -3х + 51 = - 6

-3х = -6 - 51

-3х = -57

х = -57 : (-3)

х = 19

2)

-3х = 81 - 84 + 21

-3х = 18

х = 18 : (-3)

х = -6

939.

1) = 9 - 11 = -2

2) = -2 : (-2) = 1

3) = -0,9 + 1,1 = 0,2

4) = -6. 3/13 : (-3) =

-81/13 * (-1/3) = -27/13 * (-1/1) = 27/13 = 2. 1/13

Ответ дал: oosbskaaarina
1

Пошаговое объяснение:

если что то не понятно я объясню

Приложения:

Аноним: спасибо
oosbskaaarina: не за что
Вас заинтересует