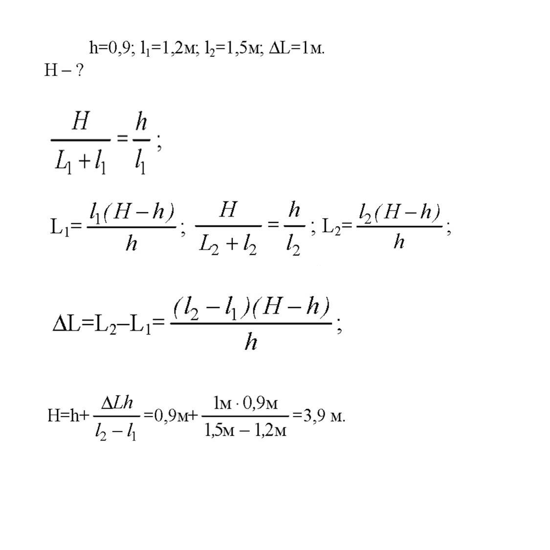
На якій висоті висить вуличний ліхтар, якщо тінь від вертикально поставленої палиці заввишки 0.9м має довжину 1.2 м, а коли палицю перемістити на 1м від ліхтаря вздовж напрямку тіні, її довжина становитиме 1.5 м? Визначте таким способом, на якій висоті вистить ліхтар, вважаючи, що безпосередньо виміряти відстань до джерела світла по горизонталі неможливо
Ответы
Ответ дал:
5
Решение закреплено ниже:
Приложения:

Ответ дал:
0
На какой высоте висит уличный фонарь, если тень от вертикально поставленной палки высотой 0.9 м имеет длину 1.2 м, а когда палку переместить на 1 м от фонаря вдоль направления тени, ее длина составит 1.5 м? Определите таким способом, на какой высоте висит фонарь, считая, что непосредственно измерить расстояние до источника света по горизонтали невозможно.
------------------------------------------------------------------------------
Приложения:


Вас заинтересует
2 года назад
2 года назад
2 года назад
2 года назад
8 лет назад
9 лет назад
9 лет назад