• Предмет: Математика
  • Автор: nastyalozovik06
  • Вопрос задан 3 года назад

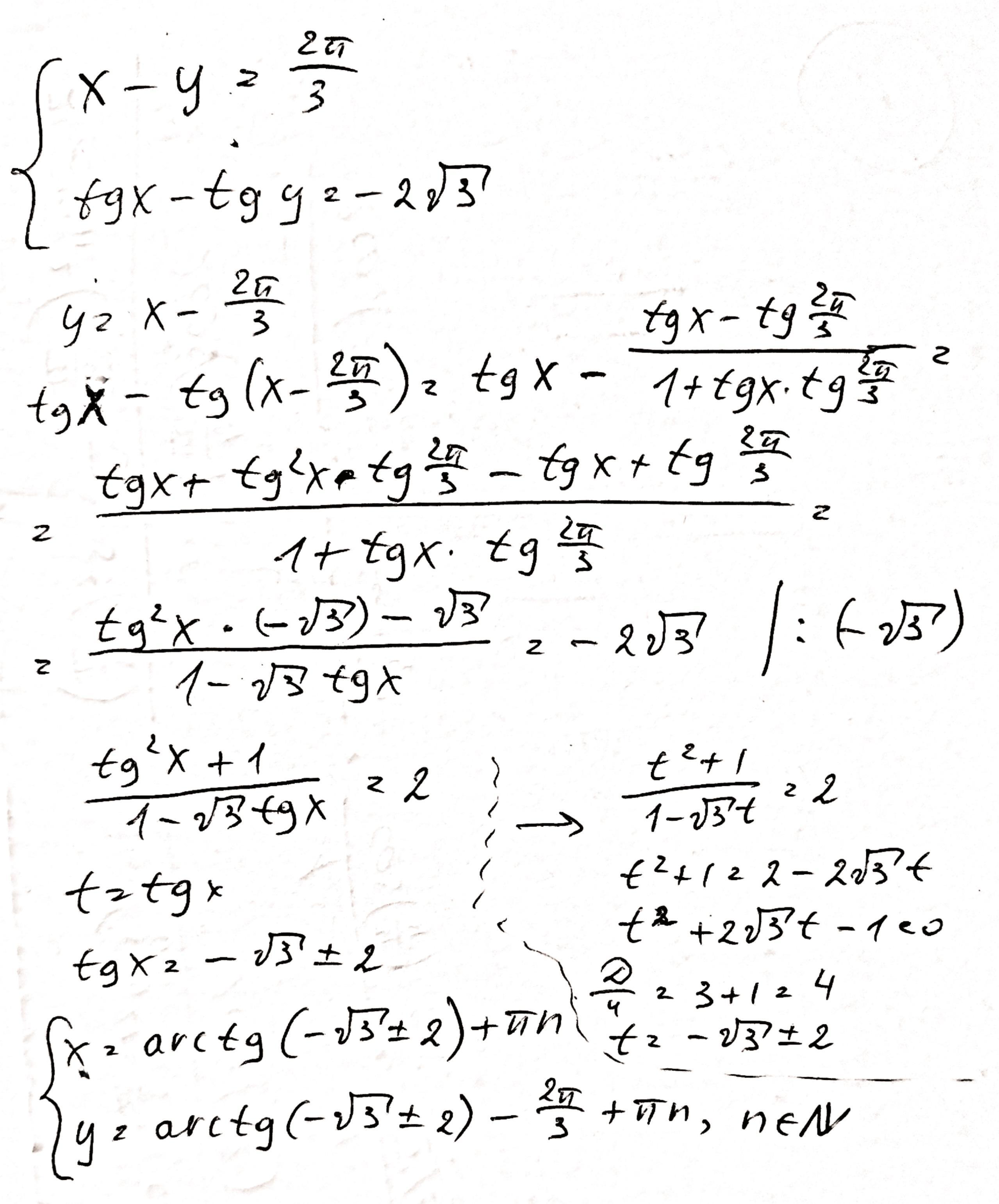
решите систему уравнений​

Приложения:

Ответы

Ответ дал: annaivanova9494
1

Ответ:

см рис

Пошаговое объяснение:

Приложения:
Вас заинтересует