• Предмет: Математика
  • Автор: cristalik901
  • Вопрос задан 3 года назад

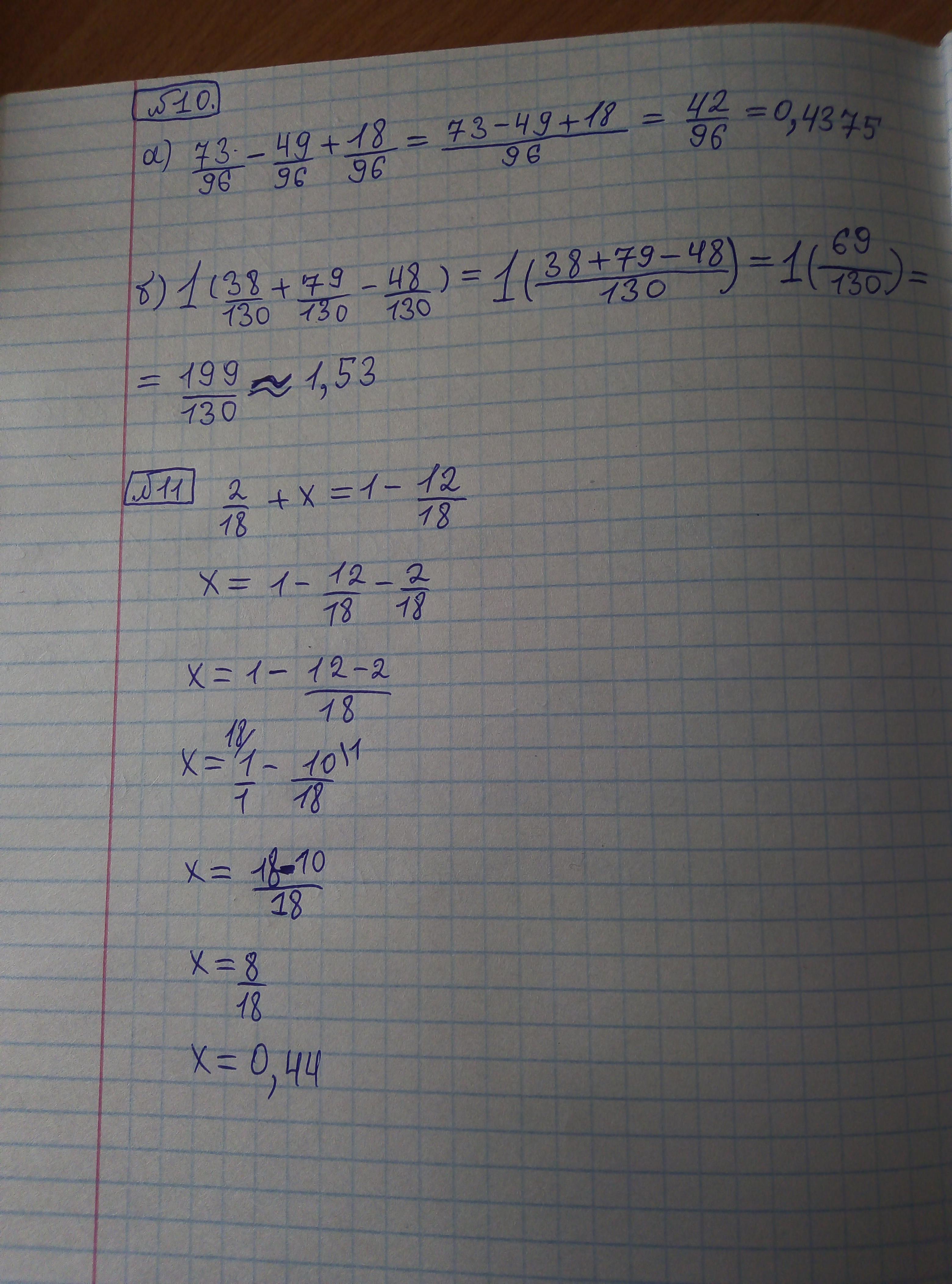
Помоги 10 и 11 пожалуйста срочно​

Приложения:

Ответы

Ответ дал: Flowswiftkeydsf346
0

12 Задание) Если на полотенце нету-монастыря и герба, то на ней - ваза с фруктами. Если на чашке нарисован монастырь-то остаётся изображение Герба. Соответственно на деревянной медали изображён герб Костромы(Ответ Б)

Приложения:
Вас заинтересует