• Предмет: Алгебра
  • Автор: myachina8
  • Вопрос задан 3 года назад

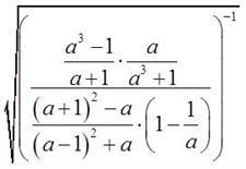
Упростите выражение и найдите его значение при а=−0,7

пожалуйста, очень надо

Приложения:

Ответы

Ответ дал: armen200785
0

Ответ:

a⁴-a

_______

a⁴+a³+a+1

Ответ дал: MOmOMylo
1

Ответ:

вот ответ на фотке...........______________________________________________________________________________________________

Приложения:
Вас заинтересует