• Предмет: Алгебра
  • Автор: wood17
  • Вопрос задан 3 года назад

Даю 20 баллов, помогите пж. Подробный ответ.

Приложения:

Ответы

Ответ дал: Wixxy
0

Ответ:

Ответ:

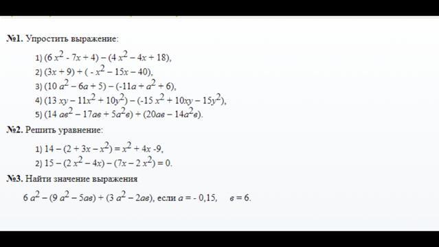
N1.

1) (6x²-7x+4)-(4x²-4x+18)=6x²-7x+4-4x²+4x-18=2x²-3x-14

2) (3x+9)+(-x²-15x-40)=3x+9-x²-15x-40=-12x-31-x²

3) (10a²-6a+5)-(-11a-a²+6)=10a²-6a+5+11a+a²-6=11a²+5a+5

4) (13xy-11x²+10y²)-(-15x²+10xy-15y²)=13xy-11x²+10y²+15x²-10xy+15y²=3xy+4x²+25y²

5) (14ab²-17ab+5a²b)+(20ab-14a²b)=14ab²-17ab+5a²b+20ab-14a²b=3ab+14ab²-9a²b

N2.

1) 14-(2+3x-x²)=x²+4x-9

14-2-3x+x²=x²+4x-9

12-3x+x²=x²+4x-9

x²+4x-9=12-3x+x²

4x-9=12-3x+x²-x²

4x-9=12-3x

4x+3x=12+9

7x=21

x=21:7

x=3

2) 15-(2x²-4x)-(7x-2x²)=0

15-2x²+4x-7x+2x²=0

15-3x=0

15=0+3x

15=3x

3x=15

x=15:3

x=5

N3.

6a²-(9a²-5ab)+(3a²-2ab) при a=-0,15, b=6

6a²-(9a²-5ab)+(3a²-2ab)=6a²-9a²+5ab+3a²-2ab=3ab

3ab при a=-0,15, b=6

3ab=6×3×(-0,15)=18×(-0,15)=-2,7

Вас заинтересует