• Предмет: Математика
  • Автор: lifeuli478
  • Вопрос задан 3 года назад

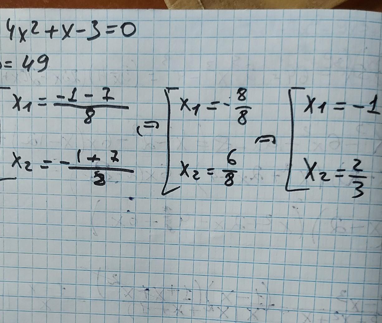
Помогите пожалуйста решить квадратные уравнения алгебра 8 класс. 1 вариант пожалуйста. Даю 50 баллов

Приложения:

Ответы

Ответ дал: flower454
1

в первом примере была ошибка при нахождении х, я исправила поэтому обрати внимание на этот пример

Приложения:
Вас заинтересует