• Предмет: Алгебра
  • Автор: DragonsLover775
  • Вопрос задан 3 года назад

Помогите пожалуйста, очень срочно, даю 10 баллов

Приложения:

Ответы

Ответ дал: manyny06
1

Ответ:

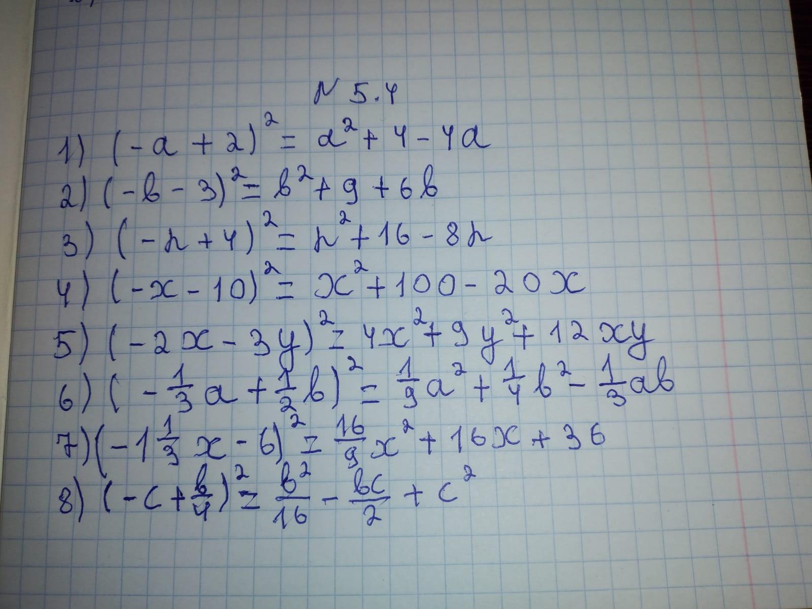
решение на фотографии

Приложения:
Ответ дал: elmar4ik
1

Ответ:

Ответы на фотографии

Объяснение:

Приложения:
Вас заинтересует