Ответы
Ответ дал:
1
Отметьте пожалуйста лучшим решением и поставьте сердечко
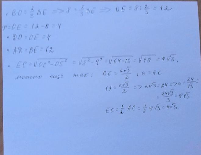
Приложения:

Вас заинтересует
2 года назад
2 года назад
8 лет назад
9 лет назад