• Предмет: Математика
  • Автор: Amir95reg
  • Вопрос задан 3 года назад

Решите пожалуйста, какие сможете

Приложения:

Jkearnsl: вам только первообразную найти?
Amir95reg: Да сначала свести это к табличному и уже ответ

Ответы

Ответ дал: Jkearnsl
1

Пошаговое объяснение:

найти первообразную:

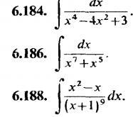
6.184.

∫1/(x⁴-4x²+3) dx = 1/12 (-3ln(1-x)+√3ln(√3-x)+3ln(x+1)-√3ln(x+√3)) + const = -1/4 ln(|x-1|) + 1/4 ln(|x+1|) + √3ln(|(x-√3)/(x+√3)|)/12 + const

и const € R ;дальше некуда расписывать...

6.186.

∫1/(x⁷+x⁵) dx = ln(x) - (2x⁴ln(x²+1)+1-2x²)/4x⁴ + const

6.188.

∫(x²-x)/(x+1)⁹ dx = 3/56(x+1)⁷ - (x²-x)/8(x+1)⁸ - 1/24(x+1)⁶ + const = (8x-14x²+1)/84(x+1)⁸ + const


Jkearnsl: const € R
Вас заинтересует