Ответы
Ответ дал:
1
Ответ:
Marysstp:
СПАСИБО БОЛЬШОЕ СЧАСТЬЯ ТЕБЕ
Ответ дал:
1
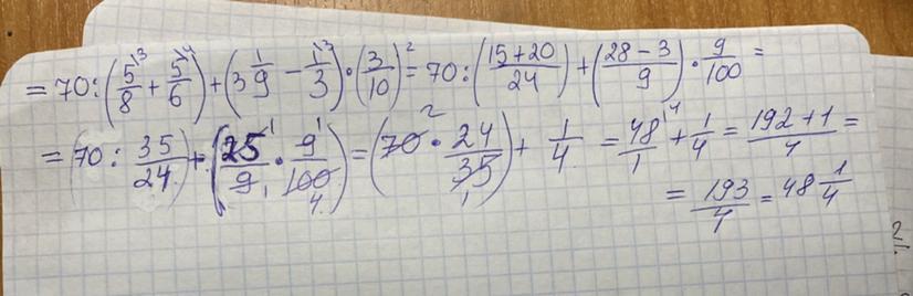
Держи❤️❤️)))))))))))))
Приложения:

Вас заинтересует
2 года назад
2 года назад
2 года назад
8 лет назад
8 лет назад