• Предмет: Математика
  • Автор: anasteyz
  • Вопрос задан 3 года назад

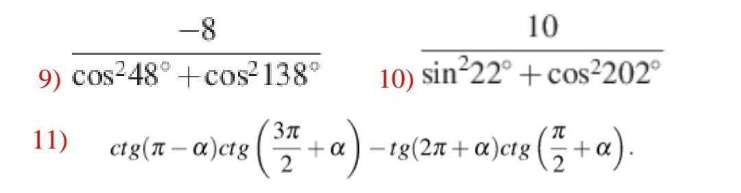
Помогите решить алгебру!!!!! Задание: используя формулы приведения, упростить выражения.

Приложения:

Ответы

Ответ дал: manyny06
1

Ответ:

решение на фотографии

Приложения:
Вас заинтересует