• Предмет: География
  • Автор: di9b
  • Вопрос задан 3 года назад

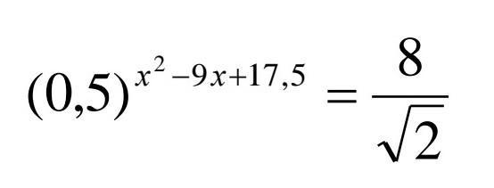
Показательное уравнение

Приложения:

Ответы

Ответ дал: gavgav3445
1

Ответ:

Решение прикреплено. Надеюсь, что всё понятно.

Приложения:
Вас заинтересует