• Предмет: Алгебра
  • Автор: amirauzeirova06
  • Вопрос задан 3 года назад

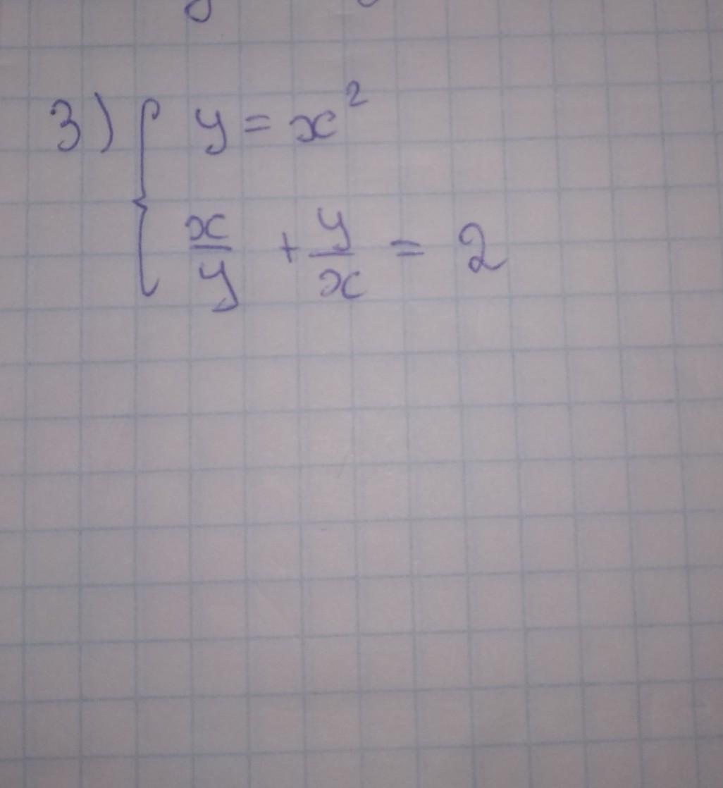
Розв'язати систему рівнянь​

Приложения:

mathgenius: Из второго уравнения сразу ясно, что x/y= > 0 , но тогда по неравенству о средних: x/y + y/x более или равно 2sqrt(x/y * y/x) = 2, причем равенство наступает, когда x/y= y/x; x^2 = y^2; y^2 = y; y(y-1) = 0;
y1 = 0 x1 = 0 y23 = 1 x23 = +- 1
mathgenius: Только 0 не подходит по одз, поэтому ответ: y=1 ; x = +- 1
mmb1: -1 откуда, когда во втором -1 - 1 = -2 а не 2
mmb1: из первого y>0
mathgenius: Да уже заметил, забыл про условие x/y > 0 , тогда конечно x=1; y = 1
mathgenius: В комментах не удается исправлять
amirauzeirova06: спасибо
mathgenius: Из второго уравнения сразу ясно, что x/y= > 0 , из первого, что y>0, откуда x и y > 0, но тогда по неравенству о средних: x/y + y/x более или равно 2sqrt(x/y * y/x) = 2, причем равенство наступает, когда x/y= y/x; x^2 = y^2; x = y; x = x^2; x = y = 1
mathgenius: Можно вот так это адаптировать
mmb1: Можно
только маловероятно, что понятие неравенство о средних, о чем то говорит вопрошаещуму

Ответы

Ответ дал: mmb1
1

y = x²

x/y + y/x = 2

x, y ≠ 0 x,y > 0

---

подставляем во второе первое уравнение

x/x² + x²/x = 2

1/x + x - 2 = 0

(x² -2x + 1)/x = 0

(x - 1)² = 0

x = 1

y = 1

ответ (1, 1)

Вас заинтересует