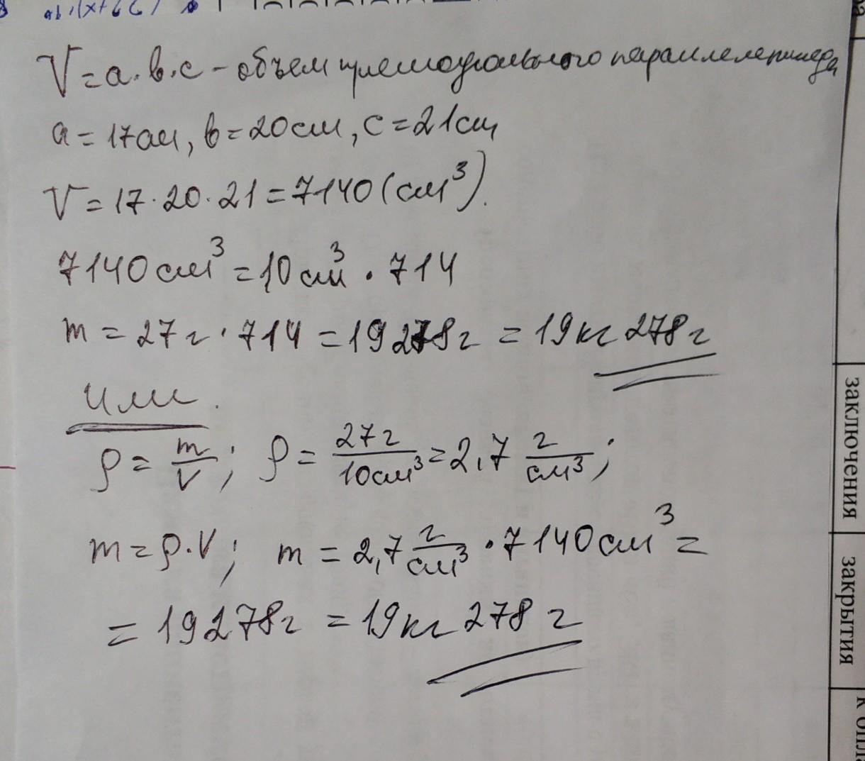
деталь в форме прямоугольного параллелепипеда имеет измерения 17 см 20 см и 21 см и изготовление из алюминия масса 10 см в кубе алюминия равна 27 г Найдите массу всей детали
помогите пж
Ответы
Ответ дал:
87
Ответ:
m = 19 кг 278 г
Пошаговое объяснение:
решение во вложении
Приложения:

Аноним:
Помогите с математикой очень нужно https://znanija.com/task/42946331
Вас заинтересует
2 года назад
8 лет назад
8 лет назад
9 лет назад
9 лет назад