• Предмет: Математика
  • Автор: chaikasofia3
  • Вопрос задан 3 года назад

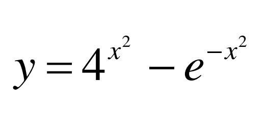
Найти дифференциал функции. ПОМОГИТЕ ПОЖАЛУЙСТА

Приложения:

Ответы

Ответ дал: Miroslava227
2

Ответ:

y' =  ln(4)  \times  {4}^{ {x}^{2} }  \times ( {x}^{2} ) '-  {e}^{ -  {x}^{2} }  \times ( -  {x}^{2} )' =  \\  = 2x ln(4)  \times  {4}^{ {x}^{2} }  + 2x {e}^{ -  {x}^{2} }  =  \\  = 2x( ln(4)  \times  {4}^{ {x}^{2} }  +  {e}^{ -  {x}^{2} } ) \\  \\ dy = 2x( ln(4) \times  {4}^{ {x}^{2} } +  {e}^{ -  {x}^{2} })   dx


Аноним: Здравствуйте! вы не могли бы мне помочь по математике? ? ?
Аноним: Пожалуйста
Аноним: 6 класс
Аноним: пожалуйста
Аноним: да или нет
Аноним: Пожалуйста
Аноним: очень прошуу
Вас заинтересует