• Предмет: Математика
  • Автор: nastia5321
  • Вопрос задан 3 года назад

Для заданной функции многих переменных определить частные производные первого и второго порядка. ПОМОГИТЕ ПОЖАЛУЙСТА

Приложения:

Ответы

Ответ дал: Miroslava227
3

Ответ:

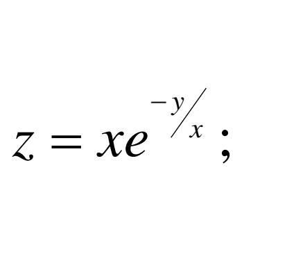
z = x {e}^{ -  \frac{y}{x} }  \\

 \frac{dz}{dx}  = (x)' \times  {e}^{ -  \frac{y}{x} } + ( {e}^{ -  \frac{y}{x} } )'_x  \times ( -  \frac{y}{x} )'_x \times x =  \\  =  {e}^{ -  \frac{y}{x} }  +  {e}^{ -  \frac{y}{x}  }  \times  \frac{y}{ {x}^{2} }  \times x =  \\  =  {e}^{ -  \frac{y}{x} } (1 +  \frac{y}{x} )

 \frac{dz}{dy}  = x \times ( {e}^{ -  \frac{y}{x} } )'_y = x {e}^{ -  \frac{y}{x} }  \times ( -  \frac{y}{x} ) =   \\  = x {e}^{ -  \frac{y}{x} }  \times ( -  \frac{1}{x} ) =  -  {e}^{ -  \frac{y}{x} }

 \frac{ {d}^{2}z }{dx {}^{2} }  =  {e}^{ -  \frac{y}{x} }  \times  \frac{y}{ {x}^{2} } (1 +  \frac{y}{x} ) + ( -  \frac{y}{ {x}^{2} } ) {e}^{ -  \frac{y}{x} }  =  \\  =  {e}^{ -  \frac{y}{x} } ( \frac{y}{ {x}^{2} }  +  \frac{ {y}^{2} }{ {x}^{3} }  -  \frac{y}{ {x}^{2} } ) =  \frac{ {y}^{2} }{ {x}^{3} }  {e}^{ -  \frac{y}{ x} }

 \frac{ {d}^{2}z }{dy {}^{2} }  =  -  {e}^{ -  \frac{y}{x} }  \times ( -  \frac{1}{x} ) =  \frac{1}{x}  {e}^{ -  \frac{y}{x} }  \\

 \frac{ {d}^{2} z}{dxdy}  = ( -  {e}^{ -  \frac{y}{x} } )'_x =  -  {e}^{  - \frac{y}{x} }  \times  \frac{y}{ {x}^{2} }  =  \\  =  -  \frac{y}{ {x}^{2} }  {e}^{ -   \frac{y}{ x}  }


Аноним: спасибо
Вас заинтересует