решите пожалуйста)))))))))
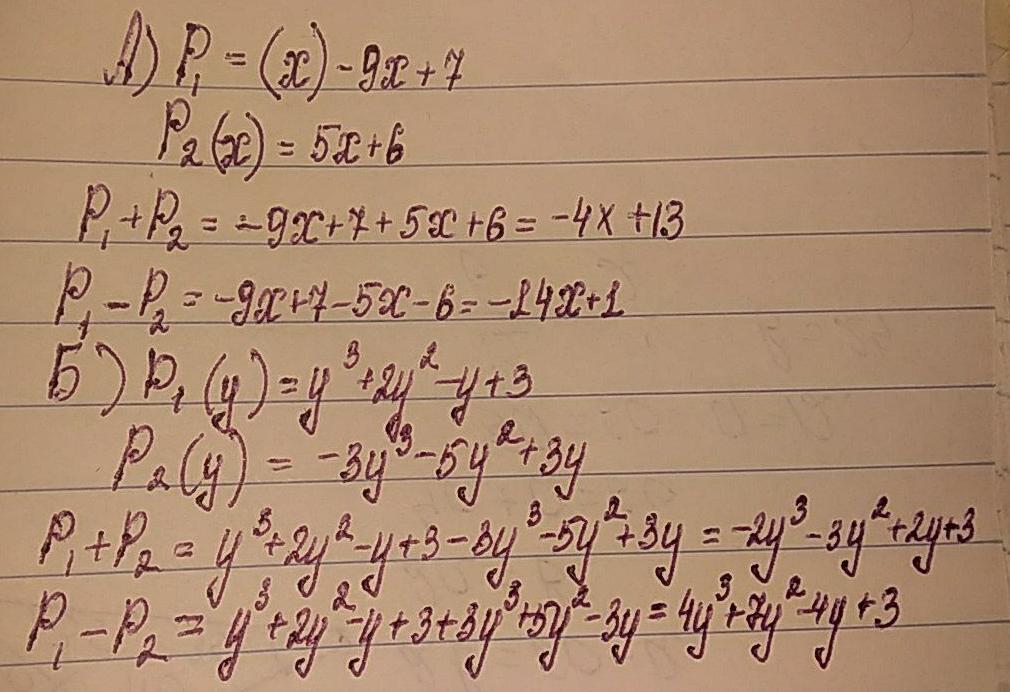
А)P1= (x) - 9x+7
p2(x) = 5x+6
⁻⁻⁻⁻⁻⁻⁻⁻⁻⁻⁻⁻⁻⁻⁻⁻⁻
p1+p2=
p1-p2=
Б) P1 (y) = y³ + 2y² - y + 3
p2 (y)= 3y³ - 5y²+3y
⁻⁻⁻⁻⁻⁻⁻⁻⁻⁻⁻⁻⁻⁻⁻⁻⁻⁻⁻⁻⁻⁻⁻⁻
p1+p2=
p1-p2=
Ответы
Ответ дал:
0
Ответ: На фото.
Объяснение:
Приложения:

Вас заинтересует
2 года назад
2 года назад
8 лет назад
9 лет назад